中国科学院物理所主导开发FE-5000W型铁电测试仪
中科院郑重申明:
1.材料产品精准测量,数据真实可信,请勿相信其它任何仿制我们参数相同的产品.
2.为了保护购买者的利益:我们支持货到验收后付款。
FE-5000型铁电测试仪
关键词:电滞回线 ,铁电测试仪,电压,频率 ,电致应变,蝴蝶曲线
中国科学院物理所主导开发FE-5000W型铁电测试仪,该铁电测试仪
关键词:电滞回线 ,铁电测试仪,电压,频率 ,电致应变,蝴蝶曲线

一、产品介绍:
FE-5000型铁电测试仪是由中国科学物理研究所研制的一款高量程款的铁电性能材料测试装置,这款设备可以适用于铁电薄膜、铁电体材料(既可块体材料)的电性能测量,可测量铁电薄膜电滞回线、可测出具有非对称电滞回线铁电薄膜值。可以进行电致应变测试,可以蝴蝶曲线功能,设备还可以扩展高温电阻,高温介电,电容-电压曲线,TSC/TSDC等功能。本仪器是从事压电材料及压电元件生产、应用与研究部门的重要设备之一,已经在各大高校和科研院所广泛使用。
二、主要技术指标:
1、输出信号电压::±5KV,10 kV可扩展电致应蝴蝶曲线功能
2、温度;室温-200℃,控温精度:±1℃
3、控制施加频率0.01到1KHz(陶瓷、单晶,薄膜)PC端软件控制自定义设置;
4、控制输出电流0到±50mA连续可调,PC端软件控制自定义设置。
5、动态电滞回线测试频率范围 0.01Hz-5kHz
7、最小脉宽保持时间为20us;最小上升沿时间为10us;
8、疲劳测试频率500kHz(振幅10 Vpp,负载电容1 nF);使用高压放大器后疲劳频率最高5kHz;
9、测试速度:测量时间《5秒/样品•温度点
10、样品规格:块体材料尺寸:直径2-100mm,厚度0.1-10mm
11、主要功能: 动态电滞回线DHM,静态电滞回线SHM,I-V特性,脉冲PUND,疲劳Fatigue,电击穿强度BDM,漏电流LM,电流-偏压,保持力RM,
10. 电荷解析度不小于10 mC;
漏电流测量范围:1pA~ 20 mA,分辨率不低于0.1pA;
12、控制方式:计算机实时控制、实时显示、实时数据计算、分析与存储
13、软件采集:自动采集软件,分析可以兼容其他相关主流软件。
14、测试精度:±0.05%
15、内置电压:±20V
可增模块:
印迹印痕IM
变温测试THM
POM 模块实现极化测量功能
CVM模块实现小信号电容测试,获得C-V曲线
PZM模块实现压电特性测试
DPM模块测试介电性能
RTM模块测试电阻/电阻率性能
CCDM模块实现电容充放电测试。
薄膜探针台




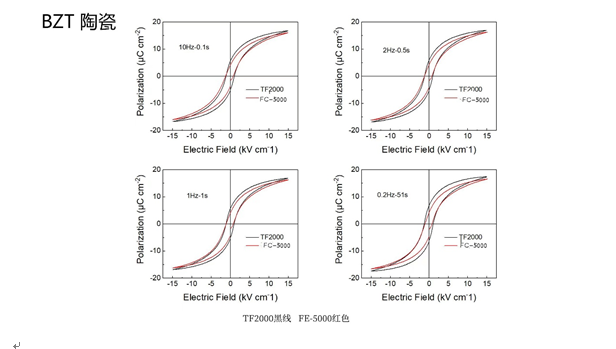
FC-5000和美国TF-2000测试数据对比图

实测电滞回线,漏电流,击穿测试等功能